NAPIREND ELŐTT
„A Hónap Civil Egyesülete”: VEMAFI – Veszprémi Magyar – Finn Egyesület
A harminc éves szervezet születésnapjáról korábban mi is írtunk.

Interpellációjában Gerstmár Ferenc (LMP) azt kérdezte a polgármestertől, hogy igaz-e, amit a háziorvosokat képviselő ügyvéd, Dr. Bősze Ferenc levélben állít, miszerint eldőlt, hogy toborzott külső orvosi munkaerővel fogják megoldani az ügyeletet, és ehhez kell az év végi határidő.
Porga Gyula polgármester elmondta, hogy folyamatosan zajlanak az egyeztetések a háziorvosokkal, felmerült az is, hogy új szemléletű finanszírozást vezetnének be, inkább a praxisokat támogatnák az ügyeleti óradíj kiegészítése helyett. Úgy véli, hogy a képviselő "az utcáról összeszedett" információkból tájékozódik. Gerstmár szerint az orvosok ügyvédje nem nevezhető hiteltelen informátornak.
Hartmann Ferenc (MSZP) elmondta: a Bakonykarszt a rezsicsökkentés miatt 380 millió forintos hiánnyal kénytelen tervezni az idén. Mit kíván tenni a városvezetés annak érdekében, hogy ne legyen veszteséges a Bakonykarszt?
Porga Gyula emlékeztetett, hogy a kormányváltás előtt az ország az IMF lélegeztetőgépén lógott, míg most az ország kikerült a 2004 óta folyó túlzottdeficit-eljárás alól. A gazdaságpolitika Magyarország sikere. A kormány csökkentette az önkormányzatok és a lakosság terheit. Úgy véli, hogy a kormánnyal együttműködve meg lehet teremteni a kellő kompenzációt.
Hartmann szerint az a fordulat, amiről a polgármester beszélt, romokba döntötte az országot, a kérdésére pedig nem kapott konkrét választ. Az emberek azt hiszik, hogy csökkentek a költségeik, és nem veszik észre, hogy ennek az árát mégiscsak ők fizetik meg.
Nagy Piroska (független): városunkat érintő vonalat most is kihagyták az InterCity közlekedés bekapcsolásából. Veszprém-Szentkirályszabadjai Reptér kereskedelmi, menetrendszerinti légiközlekedést nem folytathat. Autópálya nem segíti a közvetlen városi bekapcsolódást az ország magasabb rendű közútforgalmába. Hogy tud így előre lépni Veszprém?
Porga Gyula elmondta, a város gazdasága fejlődik, a lakosság növekszik, így a város nincs lecsúszófélben. Lesz Intercity is, napi kettő, és decembertől Veszprém is bekapcsolódik az elővárosi közlekedésbe új gyorsvonatok révén.
Nagy Piroska örült a válasznak, és úgy véli, ez jó hatással lesz a vendégéjszakák számára is.
Porga Gyula hozzátette: 2014. elején megkezdődik a nyolcas út fejlesztése.

Forgóné Kelemen Judit (Jobbik) azt kérdezte, hogy a trianoni megemlékezés után elhelyezett koszorúkat az idén is elszállítja-e a VKSZ a ünnepség másnapján?
Porga Gyula elmondta, tavaly a VKSZ véletlenül vitte el a friss virágokat, ezért elnézést kért és ígéretet tett arra, hogy idén erre nem kerül sor.
Katanics Sándor (DK): a költségvetésben szerepel 8 millió forint kárigények enyhítésére, azonban nincs arról információ, hogy pontosan mire akarja elkölteni az önkormányzat? A Bősze ügyvédi irodától a képviselők megtudták, hogy zajlik az egyeztetés a 19 éve megépült belső körgyűrű károsultjaival. A képviselőtestület nem rendelkezik kellő ismerettel az esetről. Az ügyben felmerül a hűtlen kezelés gyanúja is a képviselő szerint.
Porga Gyula elmondta, zajlanak egyeztetések, és amint döntési helyzet lesz, az a közgyűlés elé kerül majd. Semmilyen kifizetés nem történt még. Még mindig van hat-nyolc olyan család, aki kimaradt a kártalanításból a '94-es építkezések után. Jogi értelemben nincs lehetőségük kártalanításért folyamodni, de az igazságtalanság, ha a károsultaknak csak egy részét kártalanítják. A polgármester ki fog állni azokért, akik nem kapták meg az őket megillető kártalanítást, még akkor is, ha a képviselő ezért bepereli őt.
Mihalovics Péter (Fidesz-KDNP) az országzászlóról beszélt. figyelmét. Közel hét évtizede ugyanis az itt élők az Óváros téren országzászlót avattak, amit a második világháború és Magyarország 20. századi történelmének egyik legsötétebb pillanatában civilizációs üzenetként hagytak az utókorra. Most a a Város-Tér Alapítvány és a Védegylet Veszprémért együtt újra országzászlót állítana a városban. Navracsics Tibor a város országgyűlési képviselője és Porga Gyula polgármester 100-100 ezer forinttal támogatta az ügyet. Mihalovics Péter arra kérte képviselőtársait, hogy járuljanak hozzá ők is az országzászló létrehozásához.
Az országzászlóról korábban itt írtunk.

NAPIREND SZERINT
1. A) A kulturális koncepció előkészítése, társadalmi párbeszéd megindítása
B) A Veszprémi Programiroda Rendezvényszervező és Kulturális Szolgáltató Kft. Alapító Okiratának jóváhagyása
Az elmúlt évkben jelentősen bővült a város kulturális intézményeinek listája: városi fenntartásba került a Petőfi Színház, a Laczkó Dezső Múzeum és az Eötvös Károly Megyei Könyvtár, hamarosan pedig elkészül a Hangvilla is. Éppen ezért szükséges egy kulturális koncepció elkészítése. Most egy olyan anyag elfogadásáról dönt a közgyűlés, amit aztán társadalmi vitára bocsáthatnak. Olvasóink ide kattintva letölthetik a munkaanyagot, holnap pedig részletesebben is bemutatjuk a dokumentumot.
A Veszprém Programiroda elsősorban a Hangvilla programjait szervezi majd, vezetője Muraközy Péter lesz.
Czaun János (Fidesz-KDNP): a kultúra valóban az egyik legfontosabb terület, Veszprém legnagyobb erőssége, amivel hasznos, hogy koncepció készül róla, amiben azonban méltatlanul keveset szerepel Gyulafirátót és Kádárta.
Gerstmár Ferenc: hol születnek a fontos döntések? A koncepció legfontosabb cölöpeit leverték már, az anyaggal kapcsolatban a közgyűlésnek már csak formális szerep jut. Fontos, hogy a fesztiválok között ne vesszenek el a kisközösségek kulturális lehetőségei sem. A társadalmi párbeszédet korábban kellett volna kezdeni.
Forgóné Kelemen Judit: a kultúra a nemzet megtartó ereje. Mindent meg kell tenni annak érdekében, hogy meggátoljuk a magyar nyelv kiüresedését. Fontos, hogy a fiataloknak lehetőséget adjunk a nemzeti hagyományok ápolására.

Nagy Piroska attól tart, hogy pénzügyi vonatkozásban előre nem látható okok miatt esetleg túlvállaljuk magunkat. Reméli, hogy olyan professzionális szinten szervezik majd Veszprém kulturális életét, hogy ne kelljen az igényes szórakozásért Budapestig utazni. A Swingswing kft. korábban már felvázolta, milyen tartalommal kívánja megtölteni a Hangvillát, ezért furcsa, hogy most más társaság kapná ezt a feladatot. Muraközy Péter terveiről nem kapott pontos tájékoztatást a pénzügyi bizottság. Ki és mikor kérte fel Muraközy Pétert a rednezvények előszervezésére a közgyűlési döntés előtt, és miért nem jelent meg a bizottságok előtt a leendő ügyvezető? Most úgy akarunk egy kft-t létrehozni, hogy a feladataira korábban szerződést kötött az önkormányzat egy másik céggel. A képviselő pénzügyileg kockázatosnak tartja a lépést, és úgy gondolja, hogy szerződést kell módosítani a Swingswinggel.
Brányi Mária alpolgármester: A Swingswing kft. feladata a Hangvilla üzemeltetése, ami az épület működtetését jelenti. A kulturális tartalomról a Veszprém Programiroda gondoskodik majd. Külön kell választani a közművelődést és az azon túlmutató kultúrát, amihez nem lehet ingyenesen hozzáférni. A közművelődés terén a város hagyományosan messze a törvényi kötelezettségein felül teljesít. Abba az irányba haladunk, hogy egyre kevesebbet kell a rezsire költenünk a kulturális intézményekben, és így egyre több jut a tartalomra.
Katanics Sándor meg van győződve Muraközy Péter képességeiről, azonban úgy érzi, a döntés előkészítésében a szekér megelőzte a lovakat. Bizonytalannak érzi a Hangvilla létjogosultságát, a Tánc fesztiválja elmaradt, a Pannon Várszínház állami támogatás nélkül működik, ezek elbizonytalanítják a képviselőt. Kellő finanszírozás nélkül nem lehet kultúrát építeni.
Porga Gyula örül, hogy a koncepció struktúráját, jövőképét nem kritizálták. A döntések rendjéről elmondta: minden esetben javaslatokat fogalmaznak meg az előterjesztésben, amiről a közgyűlés dönt, a döntés tehát nem előzi meg az ügy tárgyalását. Azzal a polgármester is egyetért, hogy a közművelődést külön kell választani a professzionális kultúrától, ezt intézményi szinten is megvalósítjuk (a közművelődést a VMK, a professzionális kultúrát a Veszprém Programiroda végzi majd). A vállalkozások néha hatékonyabbak, mint az intézmények. Megvannak az adottságaink, hogy európai szintre emeljük a várost, csak élnünk kell a lehetőségekkel.

2. Az Önkormányzat Szervezeti és Működési Szabályzatáról szóló 1/2013. (I.31.) önkormányzati rendelet módosítása
Az SZMSZ-módosítás több – véleményezési és egyetértési – jogosultságot adna a bizottságoknak, illetve a polgármester hatáskörébe kerülne a nyári szociális gyermekétkeztetéssel, és az államigazgatási szervnél gyógyszertár létesítésével kapcsolatos döntés. A jövőben az önkormányzatnak nem kell külön döntést hoznia a jegyző által szükségesnek ítélt fakivágásokról.
3. Az Önkormányzat vagyonáról, a vagyongazdálkodás és vagyonhasznosítás szabályairól szóló 6/2012. (II.24.) önkormányzati rendelet módosítása
Az önkormányzat a Veszprémi Közüzemi Szolgáltató Zrt. részére nem veszélyes hulladék lerakó utógondozására, a Bakonykarszt Víz-és Csatornamű Zrt. részére zárt csapadékcsatornák és tartozékai üzemzavarának elhárítására biztosít kizárólagos jogot.
4. Veszprém város fizető parkolási rendszerének szabályozásáról szóló 30/2012. (V.31.) önkormányzati rendelet módosítása
A módosításban az SMS-parkolójegy vásárlásának szabályait kiegészítették azzal, hogy „A parkolás megkezdését követően a mobiltelefonos parkolást azonnal el kell indítani, a gépjárművet csak a visszaigazoló SMS megérkezését követően lehet a parkolóban hagyni.”
A jövőben a Vitéz utcában is fizetős lesz a parkolás, a sárga zónába tartozik majd 14 parkolóhellyel. Ezzel egyidőben, június 1-től az utca egyirányú lesz a rendőrség (Bajcsy-Zsilinszky utca) felől a Mártírok útja felé.
A rendelet átszervezné a Kormányhivatalnak kiadott biankó parkolási bérletek rendszerét is, ez azonban olvasóinkat közvetlenül nem érinti.
Katanics Sándor szerint jelentős gondot fog okozni a Bagolyvár utcai parkoló kiesése ezen a nyáron. Nem történt semmi a felület ideiglenes pótlására.
Porga Gyula felhívta a figyelmet, hogy nehéz lenne úgy felépíteni a parkolóházat, hogy közben a területet parkolóként használják.
Brányi Mária elmondta, hogy táblákkal fogják tájékoztatni az autósokat a forgalmirend-változásról.

5. Támogatási és közszolgáltatási szerződés kötése a Mendelssohn Kamarazenekar Közhasznú Egyesülettel
Ahhoz, hogy az egyesület az önkormányzati támogatáson kívül a központi támogatásra is jogosulttá váljon, egy közszolgáltatási szerződés megkötése szükséges.
Gerstmár Ferenc a Mendelsohn zenekart tartja a veszprémi kulturális korona ékkövének (ezzel Czaun János hozzászólására utalt, aki Kádártára és Gyulafirátótra használta a kifejezést). A képviselő azt kérdezi, hogy mennyiségileg lehet-e változás a komolyzenei kínálatban? Több nívós komolyzenei koncertet remél.
Porga Gyula nem becsülné le a város komolyzenei életét, a Mendelssohn zenekar mellett több kórus is működik. A Hangvilla felépülésével a komolyzene új otthont ad a komolyzenének.
6. A Veszprém Megyei Jogú Város Önkormányzata és a Kolostorok és Kertek Kft. között kötendő megállapodás
Az önkormányzat és a kft közötti korábbi megállapodást több okból fel kell mondani, és ehelyett újat kötni. Az okok: személyi változás (Török László lemondott a betöltött tisztségéről), jogszabályi változások (a megállapodás egy már hatályon kívül helyezett önkormányzati rendeletre hivatkozott), szolgáltatási díjak bevezetése. Ez utóbbi azt jelenti, hogy a kft a jövőben szolgáltatási díjat kell fizetni a területen megvalósuló külsős programok szervezőinek.

7. A) A Ringató Körzeti Óvoda és a Kastélykert Körzeti Óvoda alapító okiratának módosítása
B) Az Intézményi Szolgáltató Szervezet alapító okiratának módosítása
Az önkormányzat egy pályázatból szeretné újjáépíteni a Ringató Óvodát. Az építkezés ideje alatt biztosítani kell az óvoda 10 csoportjába járó, mintegy 240 gyermek megfelelő elhelyezését, gondozását, nevelését. Az átépítés időszakában 2 csoport az Erdei és Kuckó Tagóvodába, 1 csoport a Bóbita Körzeti Óvodába, 3 csoport a volt Alternatív Általános Iskola FORFA épületébe (melynek egy részében jelenleg az Örömhír Evangélikus Keresztyén Óvoda üzemel két csoporttal), 4 csoport pedig a Veszprémi Közgazdasági Szakközépiskola FORFA épületébe költözik át, ezt teszi lehetővé az alapító okirat módosítása. Az építkezés megkezdésének ideje 2014. május, befejezésének időpontja pedig előre láthatólag 2015. május.
A Kastélykert óvoda okiratát azért kell módosítani, mert az óvoda saját főzőkonyhájának jobb kihasználtsága érdekében a kádártai városrész lakóinak is biztosítanának ebédet.
Az ISZSZ látja el a jövőben a nyári táboroztatással kapcsolatos feladatokat - mondta el Némedi Lajos alpolgármester.
Katanics Sándor úgy látja, hogy a szükségesnél 2-3 fővel kevesebben látják el a feladatokat.
8. Állásfoglalás a BAKONYKARSZT Zrt. Alapszabályának módosításáról
A részvénytársaság alapszabályát a nemzeti vagyonról szóló 2011. évi CXCVI. törvényhez igazodva kell módosítani.
9. A Veszprém Megyei Jogú Város Önkormányzata és a Bakonykarszt Víz – és Csatornamű Zrt. között kötendő szerződés a Veszprémben található zárt csapadékcsatornák és tartozékainak üzemzavar elhárítására
A közgyűlés a Bakonykarszt Víz – és Csatornamű Zrt. részére a Veszprémben található zárt csapadékcsatornák és tartozékainak üzemzavar elhárítására kizárólagos jogot biztosít. Az előterjesztésből azt az érdekes adatot is megtudtuk, hogy Veszprémben 100,4 km zárt csapadékcsatorna van.
10. Előzetes kötelezettségvállalás az önkormányzati intézmények földgáz és villamosenergia beszerzése tárgyában
Földgáz tekintetében a mostani kötelezettség-vállalás 2013. július 1. naptól 2014. június 30. napig tartó időszakra szól. A tervezett gázfogyasztás mennyisége 1 105 911 m3. A beszerzések biztosításához a közgyűlés 248 830 000 Ft összegben tett kötelezettség-vállalást.
Villamosenergia tekintetében 2014. február 1. naptól 2015. január 31. napig tartó időszakra szól a vállalás, a tervezett fogyasztás mennyisége 3 216 995 kiloWattóra. A beszerzés biztosításához a Közgyűlés 167 284 000 Ft összegben tesz előzetes kötelezettség-vállalást.

11. Kötelezettségvállalás közvilágítási célú villamos energia beszerzésére
2013. december 31-én lejár a Magyar Áramszolgáltató Kft-vel kötött szerződés a közvilágítási célú villamos energia beszerzésére. Az új közbeszerzési eljárás megindításához a közgyűlés 120 millió forint előzetes kötelezettséget vállal.
12. Kötelezettségvállalás Veszprém Megyei Jogú Város Önkormányzatának tulajdonában és kezelésében lévő közutak, kerékpárutak, kishidak-átereszek, járdák és közterületek fenntartására, karbantartására illetve a burkolatjelek festésére
A Magyar Aszfalt Kft.-vel kötött keretszerződés 2013. december 31.-én lejár. Az útfenntartási feladatokhoz kapcsolódó közbeszerzési eljárás megindításához biztosítani kell a szolgáltatás ellenértékét. Ez 2014, 2015, 2016, 2017, 2018 években évi bruttó 100 millió forint. Ugyanez érvényes a burkolatjel festési munkákra, erre a Bakony Plastiroute Kft-vel kötött keretszerződés 2013. december 31.-én lejár. A „burkolatjel festése” szolgáltatás teljesítésére 2014, 2015, 2016, 2017, 2018 években évi bruttó 25 millió forint igény merült fel.
13. Döntés a civil keret terhére kiírt 2013. évi pályázatok elbírálásáról
Összesen 153 pályázat érkezett be, melyek együtt 22 757 400 Ft támogatást igényeltek. A teljes kiosztható összeg 4 millió forint volt. A legmagasabb javasolt támogatás: 200 000 Ft, a legalacsonyabb javasolt támogatás: 10 000 Ft volt.
Az eredmény letölthető PDF-ben
14. A) Megállapodás Papkeszi Község Önkormányzatával a VMJV Egészségügyi Alapellátási Intézményi Központi Ügyelete keretében biztosított alapellátási sürgősségi betegellátás megszüntetéséről
B) A VMJV Egészségügyi Alapellátási Intézmény Alapító Okiratának módosítása
2005. decembere óta Papkeszi lakosságának egészségügyi alapellátási sürgősségi betegellátását Veszprém önkormányzata biztosította a központi ügyeleten. Papkeszi önkormányzata most 2013. május 31. napjával felmondja a lakosságuk központi ügyeleti ellátására létrejött feladat-átvállalási szerződést. Ráczkevi Lajos, Papkeszi Önkormányzat polgármestere az alapellátási intézmény intézményvezető főorvosával, dr. Kovács Róberttel folyamatos tárgyalást folytatott arról, hogy Balatonalmádi központi ügyelete közreműködésével kívánják a jövőben Papkeszi lakosságának sürgősségi betegellátását biztosítani, melyet 2013. június 1-jétől vállalt a fenti egészségügyi szolgáltató.
15. Átfogó értékelés Veszprém Megyei Jogú Város Önkormányzatának 2012. évi gyermekjóléti és gyermekvédelmi tevékenységéről
A napirendi pont címében jelzett, mindösszesen 77 oldalas dokumentumot ide kattintva töltheti le.
16. A Veszprémi Kistérség Többcélú Társulása beszámolója az időskorúak teljes körű szociális ellátását biztosító Egyesített Szociális Intézmény 2012. évi tevékenységéről
A beszámoló ide kattintva tölthető le.
17. A) A Veszprémi Kistérség Többcélú Társulása társulási megállapodásának felülvizsgálata
B) Az Észak-Balatoni Térség Regionális Települési Szilárdhulladék Kezelési Önkormányzati Társulás társulási megállapodásának felülvizsgálata
18. Az „Életöröm” Idős Otthon Szociális Ellátó Közhasznú Nonprofit Kft. beszámolója a Veszprém Megyei Jogú Város Önkormányzattal kötött ellátási szerződésekben foglaltak megvalósulásáról 2012. évben
A beszámoló ide kattintva letölthető
19. Szabályzat jóváhagyása az állami és önkormányzati fenntartású intézmények által használt önkormányzati tulajdonú ingatlanok hasznosításával kapcsolatban
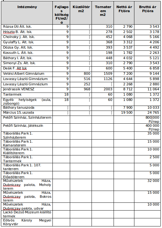
Az előterjesztés az intézmények termeinek bérlését szabályozza. A lényeg – vagyis az árak – az alábbi táblázatban láthatók.

Katanics Sándor az osztálytalálkozókkal kapcsolatban kérdezte azt, hogy rájuk is vonatkozik-e a szabályozás?
Brányi Mária alpolgármester tájékoztatta, hogy igen.
Halmay György (Fidesz-KDNP): Az iskoláknak van házirendje azokra vonatkozóan, akik nincsenek tanulói jogviszonyban. A felmerülő költségeket meg kell fizetni.
Katanics Sándor szerint ebből még nagy problémák lesznek, kiszolgáltatottá teszik az intézményvezetőket.
Brányi Mária szerint nyilvánvalóvá kell tenni, hogy az önkormányzat az épületek tulajdonosa, a kötelező feladatok ellátása után a költségeket állja az, aki igénybe veszi a termeket. A közoktatás szent ügy, de ami nem ehhez a szakmai körhöz tartozik, ott szükséges a díjfizetés.
20. Döntés települési értéktár létrehozásáról
A hungarikum-törvény arra ösztönzi az önkormányzatokat, hogy hozzanak létre helyi értéktárakat. Ehhez a kezdeményezéshez csatlakozik Veszprém is, sőt, szeptemberben felállítanak egy Veszprémi Települési Értéktár Bizottságot is.
Forgóné Kelemen Judit a bizottséág tagjairól és működéséről érdeklődött.
Brányi Mária elmondta, a bizottság pontos munkájáról a szeptemberi közgyűlés dönthet majd, addigra elkészül a részletes terv.
21. Döntés a veszprémi 3018/189 helyrajzi számú ingatlan (Láhner György u. 8.) megvásárlásával kapcsolatos adásvételi szerződés módosításáról
A megvásárolt ingatlanban a Petőfi Színház műhelyházát helyezik el. Az adásvételi szerződés értelmében az eladó 60 napon belül tehermentesíti az ingatlant az Unicredit Bank Hungary Zrt javára bejegyzett 410.000 eruós keretjelzálogjog alól. Az eladó jelezte, hogy ez technikailag nem megvalósítható, ezért a határidőt 120 napra módosította a közgyűlés.
22. Véleménynyilvánítás az Önkormányzat által működtetett oktatási intézmények átszervezésével kapcsolatban
A közgyűlésnek a Veszprém Megyei Pannon TISZK szakképző intézményeinek integrációjáról, a Veszprém Megyei Szakszolgálat átszervezéséről, a Hriszto Botev Általános Iskola átszervezéséről és a herendi és a nagyvázsonyi alapfokú művészetoktatási intézmények átszervezéséről kell véleményt alkotnia. Az első két esetben a jogszabályi változások, illetve kötelezések miatt kerül sor az átszervezésre, míg a másik két esetben pedig a Klebelsberg Intézményfenntartó Központ Veszprémi Tankerülete igazgatójának megkeresése alapján az ésszerűség indokolja az intézményi átalakításokat.
A közgyűlés a jogszabályi változások miatt előírt változásokat tudomásul vette, a Hriszto Botev Általános Iskola tagintézményeként működő Malomvölgyi Általános Iskola átszervezését viszont nem támogatta.

23. Köznevelési-fejlesztési terv véleményezése
A terv – amely Veszprém megyére vonatkozóan 895 oldal - az Oktatási Hivatal www.oktatas.hu honlapján 2013. május 3.-tól tekinthető meg. A közgyűlés lényegében úgy véleményezte az iratot, hogy szigorúan munkaanyag, aminek változnia, bővülnie kell és ki kell egészíteni a begyűjtött adatokkal.
Katanics Sándort megijesztették az anyagban található súlyos hibák, tévedések. Jelentősen alábecsülték az intézmények kihasználtságát.
Forgóné Kelemen Judit: az intézmények kifogásolták a véleményezésre meghagyott idő rövidségét. A képviselő szintén kritizálta az intézmények kihasználtságát vázoló számokat. Javítani kellene az agrárképzés színvonalát és az egészségügyi képzést, a szakközépiskoláknak valóban használható tudást kellene biztosítaniuk.
Gerstmár Ferenc: "a fejezetcímmel ellentétben szempontokat nem, csak a különböző jogszabályhelyek felsorolását tartalmazza, valamint a köznevelést érintő jogszabályok kivonatait" - idézte az előterjesztést a képviselő.
Halmay György biztosította képviselőtársait, hogy a véleményeket, javaslatokat be fogják építeni a tervbe.

24. A Veszprémi Közüzemi Szolgáltató Zrt-vel megkötött intézményi működésre irányuló szolgáltatásvásárlási szerződés módosítása
Az elmúlt hónapok tapasztalatai alapján ismét aktuálissá vált a szerződés korrekciója, ami első sorban a gépkocsi üzemeltetést érinti. A flottakedvezményt nyújtó üzemanyag-kereskedő céggel az utóbbi időben történt egyeztetések alapján elegendő a flottakedvezményt nyújtó üzemanyag-vásárlási szerződés módosítása, ahhoz, hogy a VKSZ Zrt-nek járó kedvezmények kiterjeszthetőek legyenek az intézményi használatban lévő járművekre is.
Ennek értelmében a VKSZ Zrt-nek nem kell üzembentartóvá válnia a teljes intézményi gépjárműpark felett, hiszen a kedvezményt e nélkül is igénybe lehet venni és így jelentős költség– és időigénnyel járó adminisztrációs terhektől mentesülhet a VKSZ. A megoldásnak legnagyobb előnye mégis az, hogy a költségviselő változatlanul az igénybevevő intézmény marad és ezért nem várható a költségek „elszaladása”.
A közgyűlés zárt ülésen döntött a Véghely-díj és a Perlaky-díj adományozásáról.